Researches of 2019
ライドシェア用輸送機械と電力貯蔵機としてのEV群の統合的運用
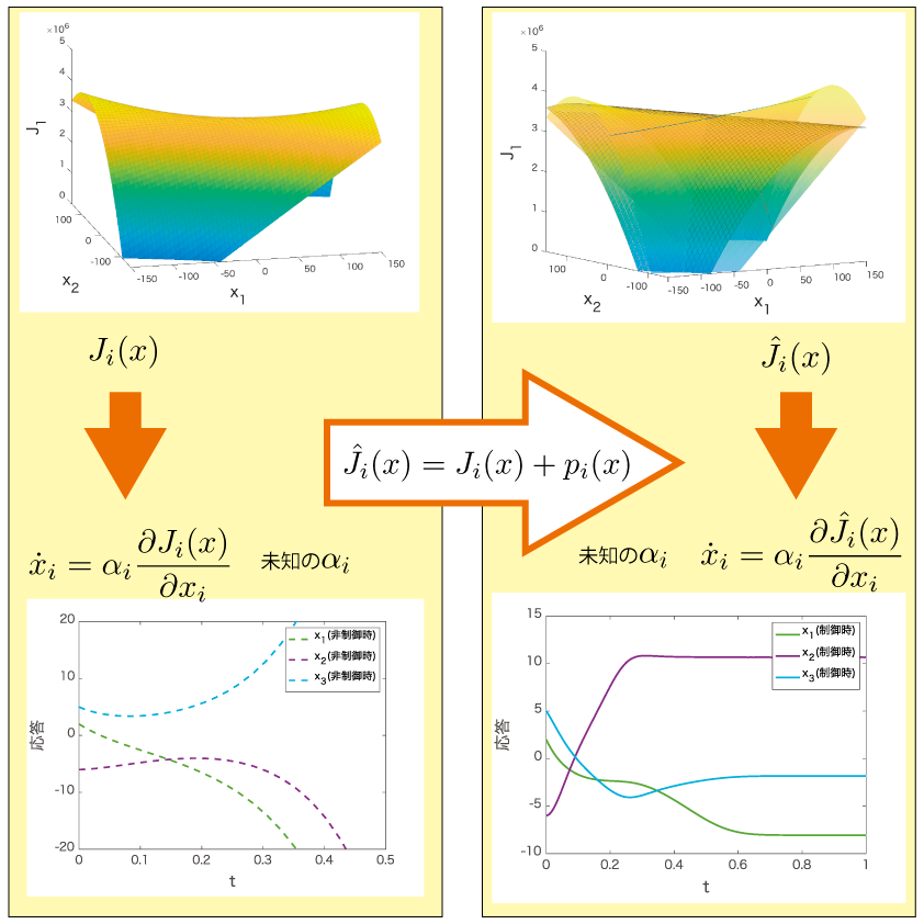
適応制御を用いた非協力ゲームの制御
予約の買い戻しを導入したレベニューマネジメントモデルの構築
Resilient Network Games with Applications to Multi-Agent Consensus
-->