Formation Flying Control of Coplanar Spacecraft
Le Tin Duc
2009 April 23
Background
Over the past few decades, there is a renewal of interest in spacecraft formation flying using a group of small and low-cost spacecraft instead of large expensive spacecraft. There are several advantages of spacecraft formation such as reconfigurability, high failure tolerance, and lower life cycle cost [1]. For instance, if one of the spacecraft fails, the remaining spacecraft compensates for the loss and hence the mission is not abandoned [2]. Thus, it has great potential for varieties of applications.
So far, there have been several planned missions including the concept of spacecraft formation flying. The EO-1 and Landsat-7 spacecraft are currently the formation missions operating in low earth orbit (LEO) to provide high resolution images of the earth's environment. The United States Air Force (USAF) mission TechSat-21, European Space Agency (ESA) missions DARWIN and SMART-2, and National Aeronautics and Space Administration (NASA) missions ST3: Starlight, ST5: Nanosat Trailblazer and Terrestrial Planet Finder (TPF) are few of the popular planned formation flying missions [3].
Sharing a similar interest to other fields such as AUV (autonomous underwater vehicle), UAV (unmanned aerial vehicles), there are a variety of approaches of control laws exploited in spacecraft formation. In view of planetary orbit enviroments (POE), leader/follower (L/F) architecture, especially 1-Leader/1-Follower type, is the most studied with variations on control laws in which the leader is assumed to be uncontrolled and to operate in either a circular orbit or a near circular orbit with a very small eccentricity [4]. Most of the papers [5-7] used the Hill's equations to propose linear quadratic regulator (LQR) for design of the follower tracking control. A linear controller using along-track feedback was studied in [8]. Adaptive control has also been used in [9] to develop a globally uniform ultimate boundedness (GUUB) in position and velocity tracking errors.
New approach to the control of multiple spacecraft was introduced by [10] utilizing robot path planning to make an equilibrium shaping via sliding mode control. Study in [11] proposed a linear programming to minimize fuel cost to drive the spacecraft to the desired state relative to the reference point (virtual center). Inspired by the human memory system, the controller designed in [12] utilized past control experience and current system behavior to generate new control action.
Research Abstract
In this research, the artificial potential field approach applied to N followers is employed to drive the coplanar followers which are on the same orbital plane to the leader's to a desired equiangular formation with the uncontrolled leader in the origin of the relative coordinate (Figure 1). Under a certain condition, the relative motion of the follower (moving on red ellipse) encircles the leader (moving on black circle) in an ellipsoidal orbit with the aspect ratio 1/2 as shown in Figure 2. As the in-plane (i.e. the plane of the leader's orbit) dynamics of the follower spacecraft is decoupled to the out-of-plane (direction perpendicular to the in-plane) dynamics, this research takes into consideration the in-plane dynamics which is equivalent to assume that the N followers and the leader are on the same plane.
Figure 1: Leader-Follower type illustration
Figure 2: Leader-follower relative flying
Furthermore, by a linear transformation on along-track axis (Figure 3), the coplanar spacecraft cluster will be seen as an equiangular formation (Figure 4). In contrary to most preceding papers in which the followers necessitate some desired states to converge to, in this research the followers are controlled with the input combined with two neighbor states. The steady state is regarded when the followers deploy equiangularly with no effort of control.
Figure 3: Illustration of transformation
Figure 4: Equiangular formation (N=6)
Results
The main contribution of this research is to investigate a new control approach to orbit formation of multiple spacecraft. With the proposed transformation from rotational Hill's coordinates to new translational coordinates, it is obvious that to achieve the free orbit there is no need to consider a reference point to converge to. The spacecraft reaches the free orbit as long as it stands still in the transformed coordinates. Considering the transformation, the dynamics turns out to be the simple first-order system with respect to the velocity.
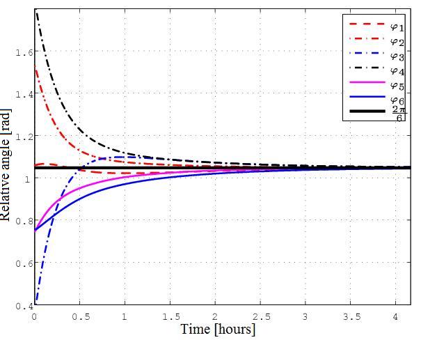
The controller is designed based on the artificial potential field. The control inputs are then derived to make the system's energy decrease and converge to the desired state asymptotically. The convergence has been verified via the simulation with 6 follower spacecraft. Obviously, the adjacent angles (Figure 5), relative velocity (Figure 6), and the control input (Figure 7) for each follower versus time reflect the control design.
Though the desired formation is establish in the first several hours, there still lacks of analysis on the position of the spacecraft as well as the disturbance factor when the spacecraft operate in the LEO environment. These factors will be considered in the future work.
             
Figure 5: Interspacecraft angles versus time
       
Figure 6: Relative velocity of each follower versus time
Figure 7: Control input of each follower versus time
Figure 8: Convergence to equiangular formation (N = 6)
------------------------------
References
[1] K. T. Alfriend and H. Schaub, "Dynamics and control of spacecraft formations: challenges and some solutions,'' J. Astro. Sci., vol. 48, no. 2, pp. 249-267, 2000.
[2] D. P. Scharf, F. Y. Hadaegh, and S. R. Ploen, "A survey of spacecraft formation flying guidance and control (part I): guidance,'' in Proc. Amer. Contr. Conf., (Denver, CO), pp. 1733-1739, June 2003.
[3] A. Krishnamurthy, Coordinated control and maneuvering of a network of micro-satellites in formation. Ph.D. thesis, University of Paderborn, Germany, 2007.
[4] D. P. Scharf, F. Y. Hadaegh, and S. R. Ploen, "A survey of spacecraft formation flying guidance and control (part II): control,'' in Proc. Amer. Contr. Conf., (Boston, MA), pp. 2976-2985, 2004.
[5] V. Kapila, A. G. Sparks, J. M. Buffington, and Q. Yan, "Spacecraft formtion flying: dynamics and control,'' in Proc. Amer. Contr. Conf., (San Diego, CA), pp. 4137-4141, June 1999.
[6] G. Q. Xing, S. A. Parvez, and D. Folta, "Implementation of autonomous GPS guidance and control for the spacecraft formation flying,'' in Proc. Amer. Contr. Conf., (San Diego, CA), pp. 4163-4167, June 1999.
[7] E. Kong, Spacecraft formation flight exploiting potential fields. Ph.D. thesis, Massachusetts Institute of Technology, 2002.
[8] K. D. Kumar, H. C. bang, and M. J. Tahk, "Satellite formation flying using along-track thrust,'' Acta Astronautica, vol. 61, no. 7, pp. 553-564, 2007.
[9] Z. Wang, F. Khorrami, and W. Grossman, "Robust adaptive control of formationkeeping for a pair of satellites,'' in Proc. Amer. Contr. Conf., (Chicago, IL), pp. 834-838, June 2000.
[10] D. Izzo and L. Pettazzi, "Autonomous and distributed motion planning for satellite swarm,'' AIAA J. Guid. Contr. Dyn, vol. 30, no. 2, pp. 449-459, 2007.
[11] M. Tillerson, L. Breger, and J. P. How, "Distributed coordination and control of formation flying spacecraft,'' in Proc. Amer. Contr. Conf., (Denver, CO), pp. 1740-1745, June 2003.
[12] L. Weng, W. Cai. R. Zhang, and Y. Song, "Bio-inspired control approach to multiple spacecraft formation flying,'' in Proc. IEE Conf. e-Science and Grid Computing, pp. 120-126, December 2006.
|
Tokyo Institute of Technology
|